Three-bottle exponential decay infusion: A novel intravenous infusion strategy for drugs which conform to three-compartment model with observations on propofol kinetics

Authors

  • Xiao-Hui Huang Center of Pharmacokinetics, College of Pharmacy, Anhui Medical University, Hefei 230032, Anhui
  • Hai-Tang Xie Anhui Provincial Center for Drug Clinical Evaluation, Institute of Clinical Pharmacology and Pharmacy, Yijishan Hospital ofWannan Medical College, Anhui
  • Wang Kun Department of Pharmacometrics, Center for Drug Clinical Research, Shanghai University of Chinese Medicine, Shanghai
  • Ji-Han Huang Department of Pharmacometrics, Center for Drug Clinical Research, Shanghai University of Chinese Medicine, Shanghai
  • Rui-Yuan Sun Anhui Provincial Center for Drug Clinical Evaluation, Institute of Clinical Pharmacology and Pharmacy, Yijishan Hospital of Wannan Medical College, Anhui

DOI:

https://doi.org/10.3329/bjp.v7i4.11908

Keywords:

Intravenous infusion, Pharmacokinetics, Propofol, Three-bottle exponential decay infusion

Abstract

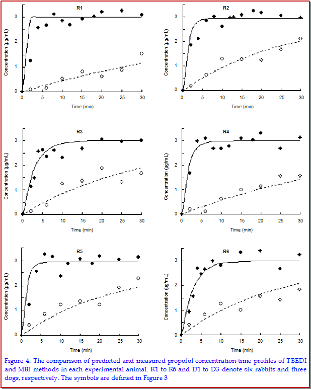
The aim of this study is to develop a novel three-bottle exponential decay infusion method to achieve the steady state concentration rapidly for drugs which conform to three-compartment model. The mathematical model and dosing regimen of three-bottle exponential decay infusion were developed. The input concentration of this method is a multi-exponential decay variable. With this method, blood concentration increased very rapidly to plateau value in the early phase of infusion and the target plateau concentration can be achieved much more quicker (approximately 10 to 35 times) than conventional constant rate infusion. This procedure was verified in rabbits and dogs and compared with conventional constant rate infusion with observations on propofol kinetics. This new quantitative methodology may provide a novel intravenous infusion strategy for drugs which conform to three-compartment model and can be used for the program design of infusion pump.

Downloads

Download data is not yet available.
Abstract
577
Download
235 Read
82

References

Blair EY, Rivory LP, Clarke SJ. Population pharmacokinetics of raltitrexed in patients with advanced solid tumours. Br J Clin Pharmacol. 2004; 57: 416-26.

Boyes RN, Scott DB, Jebson PJ, Godman MJ, Julian DG. Pharmacokinetics of lidocaine in man. Clin Pharmacol Ther. 1971; 12: 105-16.

Chau NP. linear pharmacokinetics: Calculation of the loading dose for two-compartment models with intermittent infu-sions. J Pharmacokinet Biopharm. 1977; 5: 391-403.

Clarke SJ, Beale PJ, Rivory LP. Clinical and preclinical pharmacokinetics of raltitrexed. Clin Pharmaco-kinet. 2000; 39: 429-43.

Gibaldi M, Perrier D. Pharmacokinetics. 2nd ed. Marcel Dekker, New York, 1982.

Hardmeier M, Zimmermann R, Rüegg S. Intranasal midazolam: Pharmacokinetics and pharmacodynamics assessed by quantitative EEG in healthy volunteers. Clin Pharmacol Ther. 2012; 91: 856-62.

Krishna R, Stypinski D, Ali M. Lack of an effect of anacetrapib on the pharmacokinetics of digoxin in healthy subjects. Biopharm. Drug Dispos. 2011; 32: 525-29.

Krüger-Thiemer E. Continuous intravenous infusion and multi-compartment accumulation. Eur J Pharmacol. 1968; 4: 317-24.

Mitenko PA, Ogilvie RI. Rapidly achieved plasma concentration plataus with observations on theophylline kinetics. Clin Pharmacol Ther. 1972; 13: 329-25.

Puri A, Medhi B, Panda NB. Propofol pharmacokinetics in young healthy Indian subjects. Indian J Pharmacol. 2012; 44: 402-06.

Russo H, Bressolle F. Pharmacodynamics and pharmacokinetics of thiopental. Clin Pharmacokinet. 1998; 35: 95-134.

Song JG, Sun RY. Pharmacokinetics of double-bottle intravenous infusion. Acta Pharmaceutica Sinica. 1983; 183: 732-40.

Sun RY, Zheng QS. New concepts of mathematical pharmacology. People's Medical Publishing House, 2004.

van den Nieuwenhuyzen MC, Engbers FH, Vuyk J, Burm AG. Target-controlled infusion systems: Role in anaesthesia and analgesia. Clin Pharmacokinet. 2000; 38: 181-90.

Wagner JG. A safe method for rapidly achieving plasma concentration plateaus. Clin Pharmacol Ther. 1974; 16: 691-700.

Xiao S. Guiding clinical anesthesia prescription by the principle of pharmacokinetics. Mod Hosp. 2008; 8: 7-9.

Xie HT, Huang XH, Shi J. Quantitative pharmacology and drug development. People's Military Medical Press, 2011.

Ye HB, Li JH, Rui JZ, Zheng H, Zhang XA, Chi XJ, Chen WY, Xu JG. Propofol pharmacokinetics in China: A multicentric study. Indian J Pharmacol. 2012; 44: 393-97.

Zhu JB. Mathematical analysis concerning the dosage regimen of intravenous infusion of two-compartment model drugs. Acta Pharmaceutica Sinica. 1980; 15: 741-49.

Published

2012-10-11

How to Cite

Huang, Xiao-Hui, et al. “Three-Bottle Exponential Decay Infusion: A Novel Intravenous Infusion Strategy for Drugs Which Conform to Three-Compartment Model With Observations on Propofol Kinetics”. Bangladesh Journal of Pharmacology, vol. 7, no. 4, Oct. 2012, pp. 223-35, doi:10.3329/bjp.v7i4.11908.

Issue

Section

Research Articles