Stereospermum tetragonam as an antidiabetic agent by activating PPARγ and GLUT4
DOI:
https://doi.org/10.3329/bjp.v9i2.18488Keywords:
Diabetes, GLUT-4, in silico, PPARγ, Stereospermum tetragonamAbstract
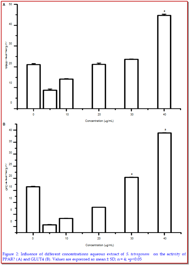
Present study evaluates the anti-diabetic activity of S. tetragonam LC-MS/MS experiments showed the presence of two novel molecules C1 and C2, which were further taken for in silico study against PPARγ. Cell culture studies with A431 cells in the presence of crude aqueous extract showed the elevated level of PPARγ and GLUT4 and also confirmed using in silico studies. Thus, the present study proves the mecode of action of S. tetragonam as an antidiabetic drug.
Downloads
363
214 Read
13
References
Bino Kingsley R, Mishra M, Brindha P, Subramoniam A. Anti-diabetic activity of active fractions of Stereospermum tetragonum DC. and isolation of active principles. J Young Pharm. 2013; 5: 7-12.
Friesner RA, Banks JL, Murphy RB, Halgren TA, Klicic JJ, Mainz DT, Repasky MP, Knoll EH, Shelley M, Perry JK, Shaw DE, Francis P, Shenkin PS. Glide: A new approach for rapid, accurate docking and scoring. 1. Method and assessment of docking accuracy. J Med Chem. 2004; 47: 1739-49.
Friesner RA, Murphy RB, Repasky MP, Frye LL, Greenwood JR, Halgren TA, Sanschagrin PC, Mainz DT. Extra precision Glide: Docking and scoring incorporating a model of hydrophobic enclosure for protein-ligand complexes. J Med Chem. 2006; 49: 6177-96.
Halgren T. New method for fast and accurate binding-site identification and analysis. Chem Biol Drug Design. 2007; 69: 146-48.
Halgren TA. Identifying and characterizing binding sites and assessing druggability. J Chem Inf Model. 2009; 49: 377-89.
Halgren TA, Murphy RB, Friesner RA, Beard HS, Frye LL, Pollard WT, Banks JL. Glide: A new approach for rapid, accurate docking and scoring. 2. Enrichment factors in database screening. J Med Chem. 2004; 47: 1750-59.
Madhavi Sastry G, Adzhigirey M, Day T, Annabhimoju R, Sherman W. Protein and ligand preparation: Parameters, protocols, and influence on virtual screening enrichments. J Comput Aided Mol Des. 2013; 27: 221-34.
Ozkol H, Tuluce Y, Dilsiz N, Koyuncu İ. Therapeutic potential of some plant extracts used in Turkish traditional medicine on streptozocin-induced type 1 diabetes mellitus in rats. J Membrane Biol. 2013; 246: 47-55.
Postic C, Shiota M, Magnuson MA. Cell-specific roles of glucokinase in glucose homeostasis. Recent Prog Horm Res. 2001; 56: 195-217.
Semple RK, Chatterjee VK, O'Rahilly S. PPAR gamma and human metabolic disease. J Clin Invest. 2006; 116: 581-89.
Thorens H-GJB. The extended GLUT-family of sugar/polyol transport facilitators: Nomenclature, sequence characteristics, and potential function of its novel members. Molec Membrane Biol. 2001; 18: 247-56.
Wood IS, Trayhurn P. Glucose transporters (GLUT and SGLT): Expanded families of sugar transport proteins. Bri J Nutri. 2003; 89: 3-9.

Published
How to Cite
Issue
Section
License
Authors who publish with this journal agree to the following terms:
- Authors retain copyright and grant the journal right of first publication with the work simultaneously licensed under a Creative Commons Attribution License that allows others to share the work with an acknowledgement of the work's authorship and initial publication in this journal.
- Authors are able to enter into separate, additional contractual arrangements for the non-exclusive distribution of the journal's published version of the work (e.g., post it to an institutional repository or publish it in a book), with an acknowledgement of its initial publication in this journal.
- Authors are permitted and encouraged to post their work online (e.g., in institutional repositories or on their website) prior to and during the submission process, as it can lead to productive exchanges, as well as earlier and greater citation of published work (See The Effect of Open Access).