Wnt5a silencing inhibits the osteosarcoma migration by suppressing PI3K/AKT signaling pathway
DOI:
https://doi.org/10.3329/bjp.v9i4.20398Keywords:
Cell migration, Doxorubicin, Osteosarcoma, PI3K/AKT signaling, Wnt5aAbstract
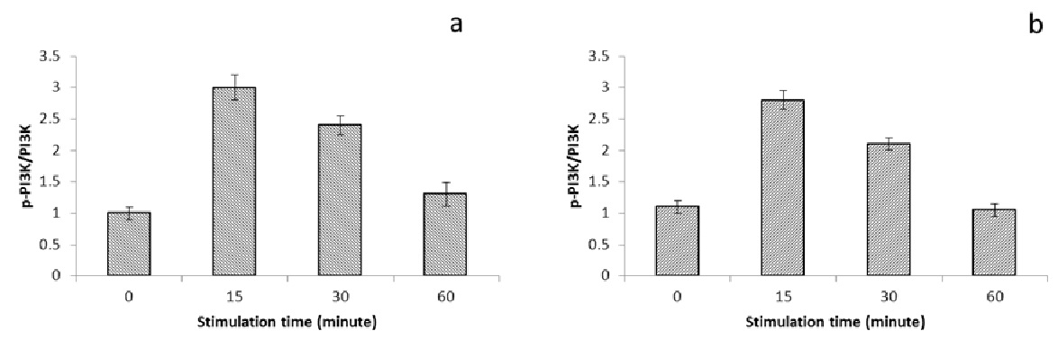
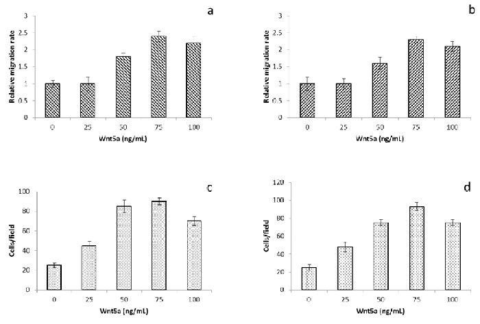
Osteosarcoma is one of the most common malignant bone tumors in children and adults. Till this date, molecular mechanism behind the growth and invasiveness of osteosarcoma is poorly understood. Wnt5a plays an important role in the oncogenesis and cancer metastasis. Results show that Wnt5a has a remarkable influence on the U2OS and SaOS-2 cancer cell migration. The cell migration was dependent on the concentration of Wnt5a with low concentration (25 ng/mL) has almost no effect on the cell migration while it has remarkable influence at 100 ng/mL. The results revealed that Wnt5a can control the osteosarcoma cell migration via PI3K/Akt signalling pathways. We showed that Wnt5a activated the PI3K (p-Tyr458) and Akt phosphorylation (p-Ser473) immediately after the ligand incubation. More importantly, we demonstrated that chemotherapeutic drug like doxorubicin can effectively suppress the activity of Wnt5a ligand and thereby can inhibit the osteosar-coma cell growth and tumorigenesis. This lay the foundation for therapeutic application of Wnt5a towards the treatment of osteosarcoma.
Downloads
369
231 Read
218
References
Almeida M, Han L, Bellido T, Manolagas SC, Kousteni S. Wnt proteins prevent apoptosis of both uncommitted osteoblast progenitors and differentiated osteoblasts by beta-catenin-dependent and –independent signaling cascades involving Src/ERK and phosphatidylinositol 3-kinase/AKT.J Biol Chem. 2005; 280: 41342-51.
Bodine PV, Komm BS. Wnt signaling and osteoblastogenesis. Rev Endocr Metab Disord. 2006; 7: 33-39.
Bodine PV. Wnt signaling control of bone cell apoptosis. Cell Res. 2008; 18: 248-53.
Chamberlain GR, Tulumello DV, Kelley SO. Targeted delivery of doxorubicin to mitochondria. ACS Chem Biol. 2013; 8: 1389-95
Gabizon A, Shmeeda H, Barenholz Y. Pharmacokinetics of pegylated liposomal doxorubicin: Review of animal and human studies. Clin Pharmacokinet. 2003; 42: 419-36.
Gaur T, Lengner CJ, Hovhannisyan H, Bhat RA, Bodine PV, Komm BS, Javed A, van Wijnen AJ, Stein JL, Stein GS, Lian JB. Canonical WNT signaling promotes osteogenesis by directly stimulating Runx2 gene expression. J Biol Chem. 2005; 280: 33132-40.
Geller DS, Gorlick R. Osteosarcoma: A review of diagnosis, management, and treatment strategies. Clin Adv Hematol Oncol. 2010; 8: 705-18.
Ferguson WS, Goorin AM. Current treatment of osteosarcoma. Canc Invest. 2001; 19: 292-315.
Kawasaki A, Torii K, Yamashita Y, Nishizawa K, Kanekura K, Katada M, Ito M, Nishimoto I, Terashita K, Aiso S, Matsuoka M. Wnt5a promotes adhesion of human dermal fibroblasts by triggering a phosphatidylinositol-3 kinase/Akt signal. Cell Signal. 2007; 19: 2498-506.
Klaus A, Birchmeier W. Wnt signaling and its impact on development and cancer. Nat Rev Cancer. 2008; 8: 387-98.
Ko YB, Kim BR, Nam SL, Yang JB, Park SY, Rho SB. High-mobility group box 1 (HMGB1) protein regulates tumor-associated cell migration through the interaction with BTB domain. Cell Signal. 2014; 26: 777-83.
Kuhl M, Sheldahl LC, Park M, Miller JR, Moon RT. The Wnt/Ca2+ pathway: A new vertebrate Wnt signaling pathway takes shape. Trends Genet. 2000; 16: 279-83.
Logan CY, Nusse R. The Wnt signaling pathway in development and disease. Annu Rev Cell Dev Biol. 2004; 20: 781-810.
Maran A, Dadsetan M, Buenz CM, Shogren KL, Lu L, Yaszemski MJ. Hydrogel-PLGA delivery system prolongs 2-methoxyestradiol-mediated anti-tumor effects in osteosarcoma cells. J Biomed Mat Res. 2013; 9: 101A.
McQueen P, Ghaffar S, Guo Y, Rubin EM, Zi X, Hoang BG. The Wnt signaling pathway: Implications for therapy in osteosarcoma. Expert Rev Anti-cancer Ther. 2011; 11: 1223-32
Nusse R. Wnt signaling in disease and in development. Cell Res. 2005; 15: 28-32.
Patel SJ, Lynch Jr JW, Johnson T, Carroll RR, Schumacher C, Spanier S, Scarborough M. Dose-intense ifosfamide/doxorubicin/cisplatin based chemotherapy for osteosarcoma in adults. Am J Clin Oncol. 2002; 25: 489-95
Picci P, Mercuri M, Ferrari S, Alberghini M, Briccoli A, Ferrari C, Pignotti E, Bacci G. Survival in high-grade osteosarcoma: Improvement over 21 years at a single institution. Ann Oncol. 2010; 21: 1366-73.
Thomas DM. Wnts, bone and cancer. J Pathol. 2010; 220: 1-4.
Veeman MT, Axelrod JD, Moon RT. A second canon: Functions and mechanisms of beta-catenin-independent Wnt signaling. Dev Cell. 2003; 5: 367–77.
Yamanaka H, Moriguchi T, Masuyama N, Kusakabe M, Hanafusa H, Takada R, Takada S, Nishida E. JNK functions in the non-canonical Wnt pathway to regulate convergent extension movements in vertebrates. EMBO Rep. 2002; 3: 69-75.
Yang J, Yang D, Sun Y, Sun B, Wang G, Trent JC, Araujo DM, Chen K, Zhang W. Genetic amplification of the vascular endothelial growth factor (VEGF) pathway genes, including VEGFA, in human osteosarcoma. Cancer 2011; 117: 4925-38.
Yang J, Cogdell D, Yang D, Hu L, Li H, Zheng H, Du X, Pang Y, Trent J, Chen K, Zhang W. Deletion of the WWOX gene and frequent loss of its protein expression in human osteosarcoma. Cancer Lett. 2010; 291: 31-38.
Weeraratna AT, Jiang Y, Hostetter G, Rosenblatt K, Duray P, Bittner M, Trent JM. Wnt5a signaling directly affects cell motility and invasion of metastatic melanoma. Cancer Cell. 2002; 1: 279-88.
Zhu Y, Tian Y, Du J, Hu Z, Yang L, Liu J, Gu L. Dvl2-dependent activation of Daam1 and RhoA regulates Wnt5a-induced breast cancer cell migration. PloS One. 2012; 7: e37823.
Published
How to Cite
Issue
Section
License
Authors who publish with this journal agree to the following terms:
- Authors retain copyright and grant the journal right of first publication with the work simultaneously licensed under a Creative Commons Attribution License that allows others to share the work with an acknowledgement of the work's authorship and initial publication in this journal.
- Authors are able to enter into separate, additional contractual arrangements for the non-exclusive distribution of the journal's published version of the work (e.g., post it to an institutional repository or publish it in a book), with an acknowledgement of its initial publication in this journal.
- Authors are permitted and encouraged to post their work online (e.g., in institutional repositories or on their website) prior to and during the submission process, as it can lead to productive exchanges, as well as earlier and greater citation of published work (See The Effect of Open Access).