Retinoic acid ortho-hydroxy aniline amide promotes neurotrophin mediated cell growth and proliferation in nerve cells
DOI:
https://doi.org/10.3329/bjp.v10i1.20921Keywords:
Neuronal differentiation, Proliferation, Stem cell, Retinoic acid amideAbstract
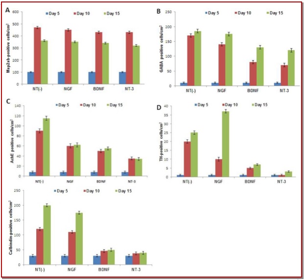
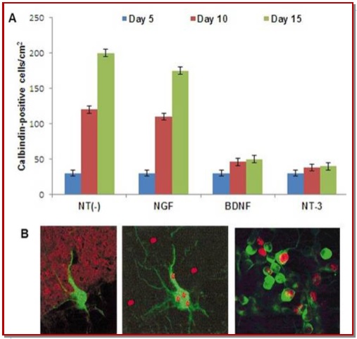
In the present study, effect of retinoic acid ortho-hydroxy aniline amide (RAA), an analog of retinoic acid (RA) was investigated on neurotrophin mediated cell growth and proliferation in hippocampus-derived stem cell clones. The results revealed that retinoic acid ortho-hydroxy aniline amide enhanced neuronal differentiation, increased NeuroD expression and p21 compared to proliferating cells stimulated by FGF-2. Retinoic acid ortho-hydroxy aniline amide treatment prevented decrease in RNA for trkC, enhanced expression of trkB RNA and p75NGFR. Retinoic acid ortho-hydroxy aniline amide treatment for 5 days increased the baseline expression of c-fos mRNA following stimulation with NGF, BDNF, and NT-3. Treatment of cultures with retinoic acid ortho-hydroxy aniline amide for 5 days followed by 5 days in serum alone increased Map2ab-positive cells compared to that of control. Therefore, retinoic acid ortho-hydroxy aniline amide is an effective agent for inducing neuronal differentiation and proliferation and is even more potent than the parent retinoic acid.
Downloads
341
414 Read
156
Published
How to Cite
Issue
Section
License
Authors who publish with this journal agree to the following terms:
- Authors retain copyright and grant the journal right of first publication with the work simultaneously licensed under a Creative Commons Attribution License that allows others to share the work with an acknowledgement of the work's authorship and initial publication in this journal.
- Authors are able to enter into separate, additional contractual arrangements for the non-exclusive distribution of the journal's published version of the work (e.g., post it to an institutional repository or publish it in a book), with an acknowledgement of its initial publication in this journal.
- Authors are permitted and encouraged to post their work online (e.g., in institutional repositories or on their website) prior to and during the submission process, as it can lead to productive exchanges, as well as earlier and greater citation of published work (See The Effect of Open Access).