Ellagic acid regulates Wnt/beta-catenin signaling pathway and CDK8 in HCT 116 and HT 29 colon cancer cells

Authors

  • Yang Fang Department of Colorectal and Anus Surgery, Wenzhou Central Hospital?Zhejiang Province 325000
  • Hong Zhou Department of Colorectal and Anus Surgery, Wenzhou Central Hospital?Zhejiang Province 325000
  • Jian-Fu Xia Department of Colorectal and Anus Surgery, Wenzhou Central Hospital?Zhejiang Province 325000
  • Jie-Jun Lin Department of Gastroenterology, Wenzhou Central Hospital?Zhejiang Province 325000
  • Ri-Zeng Li Department of Colorectal and Anus Surgery, Wenzhou Central Hospital?Zhejiang Province 325000
  • Da-Qing Yang Department of Colorectal and Anus Surgery, Wenzhou Central Hospital?Zhejiang Province 325000
  • Mai-Yu Xu Department of Hepatobiliary Surgery, Wenzhou Central Hospital?Zhejiang Province 325000
  • Xiao-Yang Li Department of Colorectal and Anus Surgery, Wenzhou Central Hospital?Zhejiang Province 325000

DOI:

https://doi.org/10.3329/bjp.v10i1.21068

Keywords:

CDK8, Colon cancer, Ellagic acid, Wnt/?-catenin

Abstract

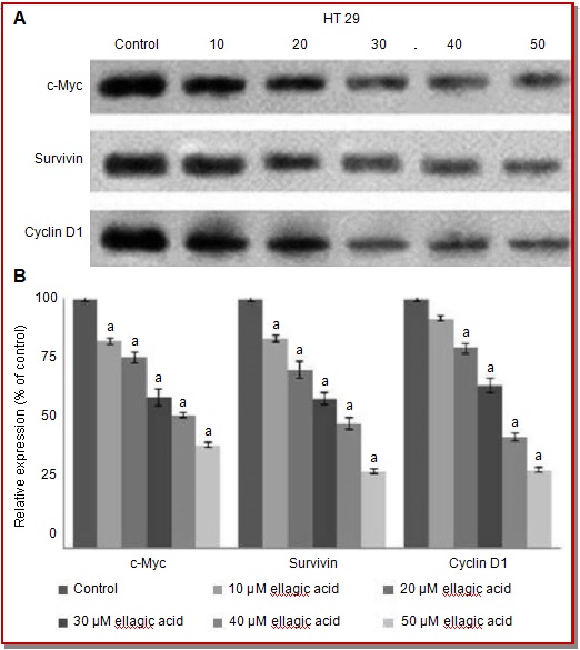
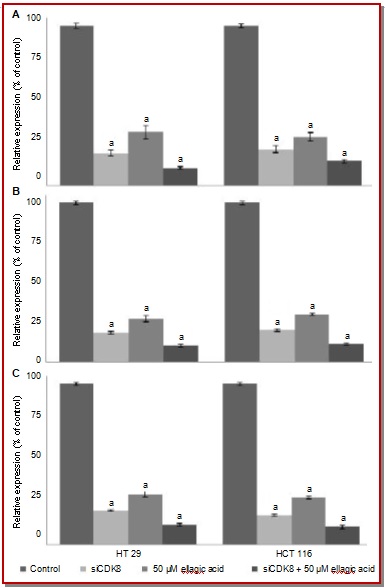
Colorectal cancer is one of the leading causes of death worldwide. Wnt/beta-catenin signalling pathway plays a central role in normal cellular responses, making it a potent target in cancer therapy. Study was taken to assess whether ellagic acid modulates Wnt/beta-catenin pathway and CDK8 activity in colon cancer cells. Effect of ellagic acid on viability of colon cancer cell lines (HT 29 and HCT 116), were assessed by MTT assay and its influence on CDK8, ?-catenin, p-?-catenin, axin1 and 2, survivin, c-Myc and cyclin D1 expressions were determined by western blotting. The levels of survivin, c-Myc and cyclin D1 were also analysed following siCDK8 transfection. Ellagic acid caused significant decrease in viability of HT 29 and HCT 116 cells. Expression of CDK 8, ?-catenin, survivin, c-Myc and cyclin D1were markedly reduced on exposure to ellagic acid. Significant up-regulation in the expression of p-?-catenin, axin1 and 2 were observed. siCDK8 transfection resulted in marked reduction in the expression of survivin, c-Myc and cyclin D1. Ellagic acid was able to effectively reduce cell viability and modulate expressions of Wnt/beta-catenin signalling cascade proteins and down regulate the activity and expression of CDK8 in HT 29 and HCT 116 cells.

Downloads

Download data is not yet available.
Abstract
687
Download
511 Read
248

Published

2015-01-12

How to Cite

Fang, Yang, et al. “Ellagic Acid Regulates Wnt Beta-Catenin Signaling Pathway and CDK8 in HCT 116 and HT 29 Colon Cancer Cells”. Bangladesh Journal of Pharmacology, vol. 10, no. 1, Jan. 2015, pp. 47-56, doi:10.3329/bjp.v10i1.21068.

Issue

Section

Research Articles