Antibacterial activities, anti-oxidant contents and antioxidant properties of three traditional Chinese medicinal extracts

Authors

  • Wenbin Li College of Chemical and Biological Engineering, Taiyuan University of Science and Technology, Taiyuan 030021
  • Hongyan Sun College of Chemical and Biological Engineering, Taiyuan University of Science and Technology, Taiyuan 030021
  • Jianwu Zhou College of Chemical and Biological Engineering, Taiyuan University of Science and Technology, Taiyuan 030021
  • Yabiao Zhang College of Chemical and Biological Engineering, Taiyuan University of Science and Technology, Taiyuan 030021
  • Linjie Liu College of Chemical and Biological Engineering, Taiyuan University of Science and Technology, Taiyuan 030021
  • Ye Gao College of Chemical and Biological Engineering, Taiyuan University of Science and Technology, Taiyuan 030021

DOI:

https://doi.org/10.3329/bjp.v10i1.21324

Keywords:

Antibacterial, Antioxidant, Chinese medicinal plant, polyphenols, flavonoids

Abstract

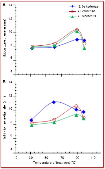
The present study was carried out to identify antibacterial and antioxidant characteristics of traditional aqueous extracts derived from three traditional Chinese medicinal plants (Scutellaria baicalensis, Coptis chinensis and Sonchus oleraceus). It was indicated that the S. oleraceus showed the highest antibacterial efficacy, especially against Staphylococcus aureus. The minimum inhibitory concentration (MIC) of the S. oleraceus was 5.0 mg/mL what was in correlation with the high total phenolic and flavonoid contents and CUPRAC value, and MIC of both S. baicalensis and C. chinensis was 7.5 mg/mL. The rational pH of the working S. oleraceus was acidic, while the other two preferred to neutral or alkaline environment. The reasonable preservation temperature of S. baicalensis should not beyond 60°C, while the other two below 90°C. Meanwhile, S. baicalensis had significant antioxidant activity with the highest CUPRAC and ·OH scavenging activity. These results had provided useful information on further drug discovery.

Downloads

Download data is not yet available.
Abstract
932
Download
561 Read
291

Published

2015-02-20

How to Cite

Li, Wenbin, et al. “Antibacterial Activities, Anti-Oxidant Contents and Antioxidant Properties of Three Traditional Chinese Medicinal Extracts”. Bangladesh Journal of Pharmacology, vol. 10, no. 1, Feb. 2015, pp. 131-7, doi:10.3329/bjp.v10i1.21324.

Issue

Section

Research Articles