Antibacterial mode of action of Ginkgo biloba leaf essential oil: Effect on morphology and membrane permeability

Authors

  • Vivek K. Bajpai Department of Applied Microbiology, School of Biotechnology, Yeungnam University, Gyeongsan, Gyeongbuk 712749, South Korea
  • Ajay Sharma Department of Biotechnology, School of Biotechnology, Yeungnam University, Gyeongsan, Gyeongbuk 712749, South Korea
  • Kwang-Hyun Baek Department of Biotechnology, School of Biotechnology, Yeungnam University, Gyeongsan, Gyeongbuk 712749, South Korea

DOI:

https://doi.org/10.3329/bjp.v10i2.22546

Keywords:

Antibacterial, Essential oil, Ginkgo biloba, Membrane permeability

Abstract

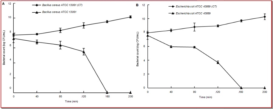
This study was aimed to evaluate antimicrobial mode of action of Ginkgo biloba leaf essential oil against foodborne pathogenic bacteria. Gas-chromatography and mass-spectrometric analysis determined 34 different compounds, representing 95.45% of the total oil. The G. biloba leaf essential oil (1,000 µg/disc) showed potential antibacterial effect as diameters of inhibition zones (12.0 ± 0.4-18.0 ± 1.2 mm) along with minimum inhibitory and minimum bactericidal concentration values ranging of 250-1,000 µg/mL. Also the G. biloba leaf essential oil had potential inhibitory effect on the cell viability of the tested pathogens. The scanning electron microscopic analysis using G. biloba leaf essential oil showed considerable morphological alterations on the cell wall of tested pathogens. The oil revealed its mode of action on membrane integrity as confirmed by release of extracellular ATP, increase of 260-nm absorbing materials and increased leakage of potassium ions against foodborne pathogenic bacteria.  

Downloads

Download data is not yet available.
Abstract
1206
Download
655 Read
314

Author Biographies

Vivek K. Bajpai, Department of Applied Microbiology, School of Biotechnology, Yeungnam University, Gyeongsan, Gyeongbuk 712749, South Korea

Assistant Professor

Ajay Sharma, Department of Biotechnology, School of Biotechnology, Yeungnam University, Gyeongsan, Gyeongbuk 712749, South Korea

Post-doc

Kwang-Hyun Baek, Department of Biotechnology, School of Biotechnology, Yeungnam University, Gyeongsan, Gyeongbuk 712749, South Korea

Associate Professor

Published

2015-04-18

How to Cite

Bajpai, Vivek K., et al. “Antibacterial Mode of Action of Ginkgo Biloba Leaf Essential Oil: Effect on Morphology and Membrane Permeability”. Bangladesh Journal of Pharmacology, vol. 10, no. 2, Apr. 2015, pp. 337-50, doi:10.3329/bjp.v10i2.22546.

Issue

Section

Research Articles