Effect of low doses of bezafibrate and fenofibrate on liver 2-oxo-glutarate dehydrogenase complex in low-protein diet fed rats
DOI:
https://doi.org/10.3329/bjp.v10i3.23101Keywords:
Bezafibrate, Fenofibrate, 2-Oxoglutarate dehydrogenaseAbstract
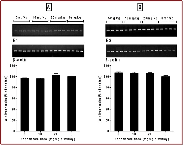
Multienzyme 2-oxoglutarate complex (2-OGDH) together with branched chain ?-ketoacid dehydrogenase (BCKDH) and pyruvate dehydrogenase belong to the family of mitochondrial 2-oxoacid dehydrogenases. Hypolipidemic drugs, bezafibrate and fenofibrate, up-regulate liver BCKDH. The present study has been undertaken to determine the effect of low doses of bezafibrate and fenofibrate on liver 2-OGDH. Fibrates were administrated to rats fed low-protein diet at 5, 10 or 20 mg/kg. In rats treated with increasing doses of bezafibrate 2-OGDH activity increased by 7, 35 and 42%, while in rats administered with fenofibrate by 8, 18, and 56% (p<0.05 for bezafibrate 10 and 20, and fenofibrate 20 mg/kg). Changes in 2-OGDH activity did not correspond with changes in mRNA levels of the complex enzymes. Moreover, mRNA levels of PPAR? remained unaltered. It is conceivable that stimulation of 2-OGDH activity by low doses of fibrates is the result of post-transcriptional events and may have a significant effect on liver metabolism.
Downloads
424
400 Read
592
References
Araujo WL, Trofimova L, Mkrtchyan G, Steinhauser D, Krall L, Graf A, Fernie AR, Bunik VI. On the role of the mitochondrial 2-oxoglutarate dehydrogenase complex in amino acid metabolism. Amino Acids. 2013; 44: 683-700.
Ball MR, Gumaa KA, McLean P. Effect of clofibrate on the CoA thioester profile in rat liver. Biochem Biophys Res Commun. 1979; 87: 489-96.
Blair PV, Kobayashi R, Edwards HM,3rd, Shay NF, Baker DH, Harris RA. Dietary thiamin level influences levels of its diphosphate form and thiamine-dependent enzymic activities of rat liver. J Nutr. 1999; 129: 641-48.
Chanda D, Lee CH, Kim YH, Noh JR, Kim DK, Park JH, Hwang JH, Lee MR, Jeong KH, Lee IK et al. Fenofibrate differentially regulates plasminogen activator inhibitor-1 gene expression via adenosine monophosphate-activated protein kinase-dependent induction of orphan nuclear receptor small heterodimer partner. Hepatology 2009; 50: 880-92.
Denton RM. Regulation of mitochondrial dehydrogenases by calcium ions. Biochim Biophys Acta. 2009; 1787: 1309-16.
Fruchart JC, Duriez P, Staels B. Molecular mechanism of action of the fibrates. J Soc Biol. 1999; 193: 67-75.
Gibson GE, Chen HL, Xu H, Qiu L, Xu Z, Denton TT, Shi Q. Deficits in the mitochondrial enzyme alpha-ketoglutarate dehydrogenase lead to Alzheimer's disease-like calcium dysregulation. Neurobiol Aging. 2012;33:1121.e13,1121.e24.
Gibson GE, Xu H, Chen HL, Chen W, Denton T, Zhang S. Alpha-ketoglutarate dehydrogenase complex-dependent succinylation of proteins in neurons and neuronal cell lines. J Neurochem. 2015. doi: 10.1111/jnc.13096
Graf A, Trofimova L, Loshinskaja A, Mkrtchyan G, Strokina A, Lovat M, Tylicky A, Strumilo S, Bettendorff L, Bunik VI. Up-regulation of 2-oxoglutarate dehydrogenase as a stress response. Int J Biochem Cell Biol. 2013; 45: 175-89.
Heublein M, Burguillos MA, Vogtle FN, Teixeira PF, Imhof A, Meisinger C, Ott M. The novel component Kgd4 recruits the E3 subunit to the mitochondrial alpha-ketoglutarate dehydrogenase. Mol Biol Cell. 2014; 25: 3342-49.
Jiao HL, Zhao BL. Cytotoxic effect of peroxisome proliferator fenofibrate on human HepG2 hepatoma cell line and relevant mechanisms. Toxicol Appl Pharmacol. 2002; 185: 172-79.
Katsiki N, Nikolic D, Montalto G, Banach M, Mikhailidis DP, Rizzo M. The role of fibrate treatment in dyslipidemia: An overview. Curr Pharm Des. 2013; 19: 3124-31.
Knapik-Czajka M, Jaskiewicz J. The influence of fibrates on branched-chain ?-ketoacid dehydrogenase complex expression in rat's liver. Acta Toxicol. 2003; 11: 67-73.
Knapik-Czajka M, Gozdzialska A, Jaskiewicz J. Adverse effect of fenofibrate on branched-chain alpha-ketoacid dehydrogenase complex in rat's liver. Toxicology 2009; 266: 1-5.
Knapik-Czajka M. Stimulation of rat liver branched-chain alpha-keto acid dehydrogenase activity by low doses of bezafibrate. Toxicology 2013; 306: 101-07.
Kobayashi R, Murakami T, Obayashi M, Nakai N, Jaskiewicz J, Fujiwara Y, Shimomura Y, Harris RA. Clofibric acid stimulates branched-chain amino acid catabolism by three mechanisms. Arch Biochem Biophys. 2002; 407: 231-40.
Lagranha CJ, Deschamps A, Aponte A, Steenbergen C, Murphy E. Sex differences in the phosphorylation of mitochondrial proteins result in reduced production of reactive oxygen species and cardioprotection in females. Circ Res. 2010; 106: 1681-91.
Lawlis VB, Roche TE. Regulation of bovine kidney alpha-ketoglutarate dehydrogenase complex by calcium ion and adenine nucleotides. Effects on S0.5 for alpha-ketoglutarate. Biochemistry 1981; 20: 2512-18.
McMinn CL, Ottaway JH. Studies on the mechanism and kinetics of the 2-oxoglutarate dehydrogenase system from pig heart. Biochem J. 1977; 161: 569-81.
Nakajima T, Tanaka N, Sugiyama E, Kamijo Y, Hara A, Hu R, Li G, Li Y, Nakamura K, Gonzalez FJ, Aoyama T. Cholesterol-lowering effect of bezafibrate is independent of peroxisome proliferator-activated receptor activation in mice. Biochem Pharmacol. 2008; 76: 108-19.
Nakajima T, Tanaka N, Kanbe H, Hara A, Kamijo Y, Zhang X, Gonzalez FJ, Aoyama T. Bezafibrate at clinically relevant doses decreases serum/liver triglycerides via down-regulation of sterol regulatory element-binding protein-1c in mice: A novel peroxisome proliferator-activated receptor alpha-independent mechanism. Mol Pharmacol. 2009; 75: 782-92.
Niebisch A, Kabus A, Schultz C, Weil B, Bott M. Corynebacterial protein kinase G controls 2-oxoglutarate dehydrogenase activity via the phosphorylation status of the OdhI protein. J Biol Chem. 2006; 281: 12300-07.
Ono K, Shioya H, Hakozaki M, Honda K, Mori T, Kochi H. Regulation by induction of branched-chain 2-oxo acid dehydrogenase complex in clofibrate-fed rat liver. Biochem Biophys Res Commun. 1990; 172: 243-48.
Prager C, Schon HJ, Nikfardjam M, Schmid D, Untersalmberger M, Kremser K, Kramar R. Clofibrate elevates enzyme activities of the tricarboxylic acid cycle in rat liver. J Lipid Res. 1993; 34: 359-64.
Shimomura K, Ikeda M, Ariyama Y, Proks P, Shimomura Y, Mori M, Matsumoto S. Effect of peroxisome proliferator-activated receptor alpha ligand fenofibrate on K(v) channels in the insulin-secreting cell line HIT-T15. Gen Physiol Biophys. 2006; 25: 455-60.
Smith CM, Bryla J, Williamson JR. Regulation of mitochondrial alpha-ketoglutarate metabolism by product inhibition at alpha-ketoglutarate dehydrogenase. J Biol Chem. 1974; 249: 1497-505.
Tenenbaum A, Fisman EZ. Fibrates are an essential part of modern anti-dyslipidemic arsenal: Spotlight on atherogenic dyslipidemia and residual risk reduction. Cardiovasc Diabetol. 2012; 11: 125.
Published
How to Cite
Issue
Section
License
Authors who publish with this journal agree to the following terms:
- Authors retain copyright and grant the journal right of first publication with the work simultaneously licensed under a Creative Commons Attribution License that allows others to share the work with an acknowledgement of the work's authorship and initial publication in this journal.
- Authors are able to enter into separate, additional contractual arrangements for the non-exclusive distribution of the journal's published version of the work (e.g., post it to an institutional repository or publish it in a book), with an acknowledgement of its initial publication in this journal.
- Authors are permitted and encouraged to post their work online (e.g., in institutional repositories or on their website) prior to and during the submission process, as it can lead to productive exchanges, as well as earlier and greater citation of published work (See The Effect of Open Access).