Synthesis and biological evaluation of new hydrazide-Schiff bases

Authors

  • Asif Husain Department of Pharmaceutical Chemistry, Hamdard University, New Delhi 110062, India
  • Munendra M. Varshney College of Pharmaceutical Sciences, Raj Kumar Goel Institute of Technology, Ghaziabad, U.P. 201003, India
  • Versha Parcha Sardar Bhagwan Singh Post Graduate Institute of Biomedical Sciences and Research, Dehradun, Uttarakhand, India
  • Aftab Ahmad Health Information Technology Department, Jeddah Community College, King Abdul Aziz University, Jeddah 21589, Saudi Arabia
  • Shah Alam Khan Dept of Pharmacy, Oman Medical College, PO Box 620, PC 130, Muscat, Oman

DOI:

https://doi.org/10.3329/bjp.v10i3.23381

Keywords:

Anthelmintic, Antibacterial, Hydrazides, Schiff base

Abstract

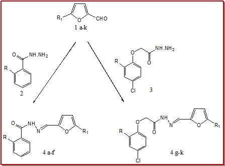
A new series of N-({5-(substituted aryl)-furan-2-yl}-methylidene)-hydrazides were synthesized with a new class of Schiff bases derived from the reaction of substituted phenyl-1-ketohydrazide 2 or 2-(4-chloro-3-methylaryloxy) acetohydrazide 3 with different 5-(substituted aryl)-2-furfuraldehyde (1a-k) to yield substituted N-({5-(substituted aryl)-furan-2-yl}-methylidene)-hydrazides-Schiff bases (4a-f, 4g-k). The title compounds were subjected to in vitro antibacterial screening against Gram positive bacterial strains- S. aureus, B. cereus, E. faecalis and S. epidermidis, and Gram negative bacteria strains- E. coli, S. typhi, S. dysenteriae  and K. pneumoniae. The synthesized Schiff bases were also evaluated for their anthelmintic activity against two species of earthworms (Pheritima posthuma and Perionyx excavates). Some compounds have shown promising antibacterial and anthelmintic activities.

Downloads

Download data is not yet available.
Abstract
923
Download
650 Read
249

Author Biographies

Asif Husain, Department of Pharmaceutical Chemistry, Hamdard University, New Delhi 110062, India

Sr. Assistant Professor

Munendra M. Varshney, College of Pharmaceutical Sciences, Raj Kumar Goel Institute of Technology, Ghaziabad, U.P. 201003, India

Assistant Professor

Versha Parcha, Sardar Bhagwan Singh Post Graduate Institute of Biomedical Sciences and Research, Dehradun, Uttarakhand, India

Professor

Aftab Ahmad, Health Information Technology Department, Jeddah Community College, King Abdul Aziz University, Jeddah 21589, Saudi Arabia

Assistant Professor

Shah Alam Khan, Dept of Pharmacy, Oman Medical College, PO Box 620, PC 130, Muscat, Oman

Associate Professor

Google Scholar Citation Index

Additional Files

Published

2015-07-01

How to Cite

Husain, Asif, et al. “Synthesis and Biological Evaluation of New Hydrazide-Schiff Bases”. Bangladesh Journal of Pharmacology, vol. 10, no. 3, July 2015, pp. 555-61, doi:10.3329/bjp.v10i3.23381.

Issue

Section

Research Articles