Anti-oxidant and hepatoprotective activities of total flavonoids of Indocalamus latifolius
DOI:
https://doi.org/10.3329/bjp.v10i4.23496Keywords:
Anti-oxidant, Flavonoid, Hepatoprotective, Indocalamus latifoliusAbstract
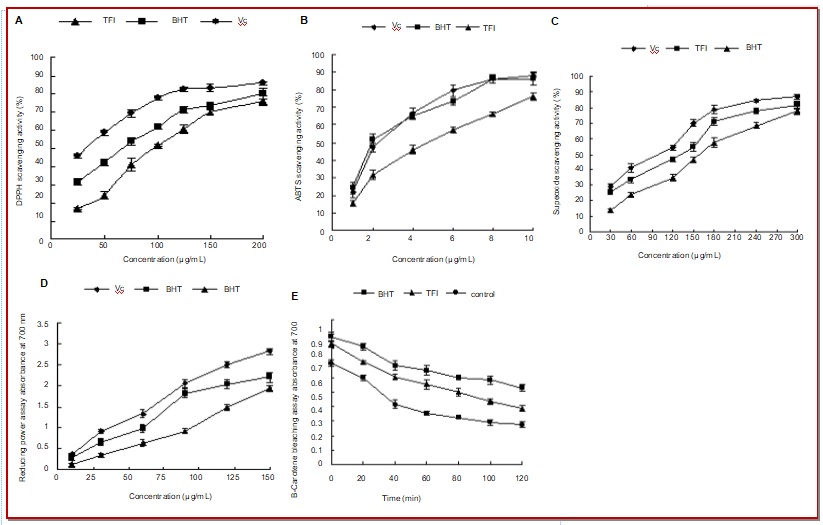
The total flavonoids of Indocalamus latifolius were evaluated in term of their anti-oxidant and hepatoprotective activities. The results showed that in vitrohepatoprotective and anti-oxidant activities of total flavonoids at doses of 200 and 400 mg/kg and 100 mg/kg, respectively, were comparable to those of the known hepatoprotective drug silymarin at 100 mg/kg. These data were supplemented with histopathological studies of rat liver sections. Seven of the main flavonoid compounds purified by column chromatography using silica gel, sephadex LH-20 and develosil ODS, and determined to be vitexin, orientin, isovitexin, homoorientin, tricin, tricin-7-O-β-D-glucopyranoside and quercetin-3-O-glucopyranoside.
Downloads
480
398 Read
196

Published
How to Cite
Issue
Section
License
Authors who publish with this journal agree to the following terms:
- Authors retain copyright and grant the journal right of first publication with the work simultaneously licensed under a Creative Commons Attribution License that allows others to share the work with an acknowledgement of the work's authorship and initial publication in this journal.
- Authors are able to enter into separate, additional contractual arrangements for the non-exclusive distribution of the journal's published version of the work (e.g., post it to an institutional repository or publish it in a book), with an acknowledgement of its initial publication in this journal.
- Authors are permitted and encouraged to post their work online (e.g., in institutional repositories or on their website) prior to and during the submission process, as it can lead to productive exchanges, as well as earlier and greater citation of published work (See The Effect of Open Access).