Evaluation of anticonvulsant, antimicrobial and hemolytic activity of Aitchisonia rosea
DOI:
https://doi.org/10.3329/bjp.v10i4.24153Keywords:
Aitchisonia rosea, Anticonvulsant, Antimicrobial, HemolyticAbstract
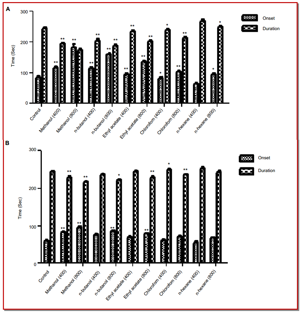
The purpose of this study was to evaluate the anticonvulsant, antimicrobial and hemolytic effect of Aitchisonia rosea. The anticonvulsant effect was studied at doses 400 and 800 mg/kg against pentylenetetrazole, strychnine and picrotoxin-induced seizures in albino mice. The antimicrobial assay was conducted by disc diffusion method and minimum inhibitory concentration. Hemolytic effect was analyzed by reported method. Phenolic compounds present in the n-butanol fraction of the plant were estimated by HPLC. The plant showed maximum response against drug-induced convulsions and provided protection to animals at both doses. It also showed maximum zone of inhibition and highly significant MIC against all bacterial and fungal strains. The plant protected the RBCs from hemolysis. The highest amount of phenolics found was caffeic acid (7.5 ± 0.04).
Downloads
343
257 Read
182

Published
How to Cite
Issue
Section
License
Authors who publish with this journal agree to the following terms:
- Authors retain copyright and grant the journal right of first publication with the work simultaneously licensed under a Creative Commons Attribution License that allows others to share the work with an acknowledgement of the work's authorship and initial publication in this journal.
- Authors are able to enter into separate, additional contractual arrangements for the non-exclusive distribution of the journal's published version of the work (e.g., post it to an institutional repository or publish it in a book), with an acknowledgement of its initial publication in this journal.
- Authors are permitted and encouraged to post their work online (e.g., in institutional repositories or on their website) prior to and during the submission process, as it can lead to productive exchanges, as well as earlier and greater citation of published work (See The Effect of Open Access).