Synthesis and anti-depressant evaluation of novel pyrazolone derivatives
DOI:
https://doi.org/10.3329/bjp.v11i2.25859Keywords:
Antidepressant, PyrazoloneAbstract
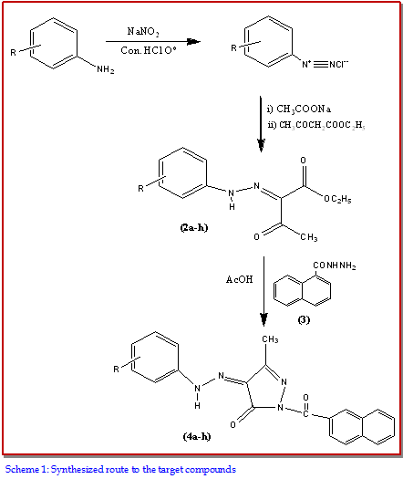
Diazotization of substituted anilines with NaNO2 and concentrated hydrochloric acid at 0ºC gave the diazonium chlorides. Coupling of substituted aryl diazonium chlorides with ethyl acetoacetate in methanol gave ethyl-2-aryl-hydrazono-3-oxobutyrates (2a-h). Reaction of (2a-h) with naphthoic carbohydrazide (3) gave the title compounds pyrazolone derivatives (4a-h). The newly synthesized compounds were screened for their in vivo anti-depressant activity by tail suspension test and forced swimming test. Some of the tested compounds 4f, 4g showed very good activity when compared to the standard drug imipramine. The newly synthesized compounds were characterized by physical parameters and the structures were elucidated by spectral data.
Video Clips of Methodology:
Forced swimming test: 12 min 19 sec Full Screen Alternate
Tail suspension test: 8 min 5 sec Full Screen Alternate
Downloads
390
266 Read
122
References
Anacker C. Fresh approaches to anti-depressant drug discovery. Expert Opin Drug Discov. 2014; 9: 40721.
Anzai K, Furuse M, Yoshida A, Matsuyama A, Moritake T, Tsuboi K, Ikota N. In vivo radioprotection of mice by 3-methyl-1-phenyl-2 pyrazolin-5-one (edaravone; Radicut), a clinical drug. J Radiat Res (Tokyo). 2004; 45: 319-23.
Artigas F. Future directions for serotonin and anti-depressants. ACS Chem Neurosci. 2013; 4: 58.
Desai AR, Desai KR. Niementowski reaction: Microwave induced and conventional synthesis of quinazolinones and 3-methyl-1H-5-pyrazolones and their antimicrobial activity. Arkivoc 2005; 8: 98-108.
Dunham NM, Miya TS. A note on simple apparatus for detecting neurological deficit in rats and mice. J Am Pharm. 1957; 46: 208?09.
Immadisetty K, Geffert LM, Surratt CK, Madura JD. New design strategies for anti-depressant drugs. Expert Opin Drug Discov. 2013; 8: 1399414.
Mathew B, Suresh J, Anbazhagan S, Mathew GE. Pyrazoline: A promising scaffold for the inhibition of monoamine oxidase. Cent Nerv Syst Agents Med Chem. 2013; 13: 195-206.
Mariappan G, Saha BP, Satharson L, Haldar A. Synthesis and bioactivity evaluation of pyrazolone derivatives. Ind J Chem. 2010; 49B: 167174.
McNamara JO. Pharmacotherapy of the epilepsies. In: Goodman and Gilmans the Phamacological basis of therapeutics. Brunton LL, Chabner BA, Knollmann BC (eds.). 12th ed. New York, McGraw-Hill, 2011, pp 583-608.
Mochizucki D. Serotonin and noradrenaline reuptake inhibitors in animal models of pain. Hum Psychopharmacol. 2004; 19: S15-19.
OECD. Acute oral toxicity: Up and down procedures, guidelines for testing of chemicals. No. 425. Paris, OECD, 2001.
Ozdemir Z, Kandilci HB, Gumusel B, Calis U, Bilgin AA. Synthesis and studies on anti-depressant and anti-convulsant activities of some 3-(2-furyl)-pyrazoline derivatives. Eur J Med Chem. 2007; 42: 373-79.
Parmar VS, Kumar A, Prasad AK, Singh SK, Kumar N, Mukherjee S, Raj GH, Goel S, Errington W, Puar MS. Synthesis of E- and Z pyrazolyl acrylonitriles and their evaluation as novel anti-oxidants. Bioorg Med Chem. 1999; 7: 1425-36.
Porsolt RD, Enna SJ, Malick JB, Richelson E, (eds). Anti-depressants: Neurochemical, behavioral and clinical perspectives. New York, Raven Press, 1981, pp 121-39.
Prasad YR, Rao LA, Prasoona L, Murali Kumar RP. Synthesis and anti-depressant activity of some 1,3,5-triphenyl-2-pyrazolines and 3-(2''-hydroxy naphthalen-1''-yl)-1,5-diphenyl-2-pyrazolines. Bioorg Med Chem Lett. 2005; 15: 5030-34.
Ramajayam R, Tan KP, Liu HG, Liang PH. Synthesis and evaluation of pyrazolone compounds as SARS-coronavirus 3C-like protease inhibitors. Bioorg Med Chem. 2010; 18: 784954.
Revanasiddappa BC, Thulasi N, Ansar M, Mahesh V, Anupama KP. Synthesis, antibacterial, anti-tubercular, anti-fungal, evaluation of some novel pyrazolone derivatives. Indian J Het Chem. 2013; 22: 373-76.
Singh D, Singh D. Synthesis and antifungal activity of some 4-arylmethylene derivatives of substituted pyrazolones. J Indian Chem Soc. 1991; 68: 165 67.
Sivakumar K, Rajasekharan A. Synthesis and Characterization, in vitro anti-oxidant activity of N-mannich base of pyrazolone derivatives. Int J Res Pharm Chem. 2012; 2: 32737.
Uramaru N, Shigematsu H, Toda A, Eyanagi R, Kitamura S, Ohta S. Design, synthesis and pharmacological activity of non allergenic pyrazolone type antipyretic analgesics. J Med Chem. 2010; 53: 872733.
Wang XH, Wang XK, Liang YJ, Shi Z, Zhang JY, Chen LM, Fu LW. A cell-based screen for anti-cancer activity of 13 pyrazolone derivatives. Chin J Cancer. 2010; 29: 98087.
Wardhakan WW, Abdel-Salam OME, Elmegeed GA. Screening for anti-depressant, sedative and analgesic activities of novel fused thiophene derivatives. Acta Pharmacopoeia. 2008; 58: 1-14.
Published
How to Cite
Issue
Section
License
Authors who publish with this journal agree to the following terms:
- Authors retain copyright and grant the journal right of first publication with the work simultaneously licensed under a Creative Commons Attribution License that allows others to share the work with an acknowledgement of the work's authorship and initial publication in this journal.
- Authors are able to enter into separate, additional contractual arrangements for the non-exclusive distribution of the journal's published version of the work (e.g., post it to an institutional repository or publish it in a book), with an acknowledgement of its initial publication in this journal.
- Authors are permitted and encouraged to post their work online (e.g., in institutional repositories or on their website) prior to and during the submission process, as it can lead to productive exchanges, as well as earlier and greater citation of published work (See The Effect of Open Access).