Anti-oxidant, antimicrobial and anti-acetylcholinesterase activities of organic extracts from aerial parts of three Tunisian plants and correlation with polyphenols and flavonoids contents

Authors

  • Imen Sellem Laboratory of Microorganisms and Biomolecules of the Center of Biotechnolgy of Sfax-Tunisia. Road of Sidi Mansour, Km 6, B.P. 1177, 3018
  • Fatma Kaaniche Laboratory of Microorganisms and Biomolecules of the Center of Biotechnolgy of Sfax-Tunisia. Road of Sidi Mansour, Km 6, B.P. 1177, 3018
  • Ahlem Mtibaa Chakchouk Laboratory of Microorganisms and Biomolecules of the Center of Biotechnolgy of Sfax-Tunisia. Road of Sidi Mansour, Km 6, B.P. 1177, 3018
  • Lotfi Mellouli Laboratory of Microorganisms and Biomolecules of the Center of Biotechnolgy of Sfax-Tunisia. Road of Sidi Mansour, Km 6, B.P. 1177, 3018

DOI:

https://doi.org/10.3329/bjp.v11i2.26001

Keywords:

Anti-acetylcholinesterase, Antimicrobial, Anti-oxidant, Flavonoid, Polyphenol, Tunisia

Abstract

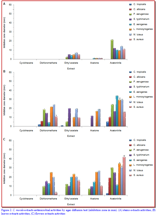
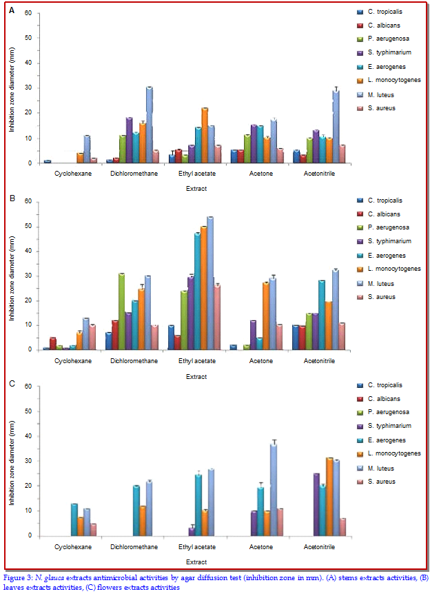
In goal of searching new active compounds with important biological activities, a screening of several plants from salt-marsh region of Chebba-Tunisia had been realized. Three species had been selected: Calendula arvensis, Chenopodium murale and Nicotiana glauca. The organic extracts of different aerial parts of these plants (stems, leaves and flowers) displayed variable contents of total polyphenols (TPP) and total flavonoids (TF). Flowers acetone extract from N. glauca contained the higher quantity in TPP (264.8 ± 1.6 µg GA/mg), while stems dichloromethane extract exhibited the best TF content (49.8 ± 2.2 µg QE/mg). The important TPP and TF contents reflected a good anti-oxidant and antimicrobial activities. The best acetylcholinesterase inhibitory activity had been shown in the fractions obtained after extraction with low polarity solvents. Whence, a correlation of flavonoids contents with biological activities had been shown, while, there was no correlation with acetylcholinesterase inhibitory activity.

Video Clip of Methodology:

DPPH radical scavenging activity: 3 min   Full Screen   Alternate

Downloads

Download data is not yet available.
Abstract
601
Download
391 Read
333

References

Abdel Rahman SM, Abd-Ellatif SA, Deraz SF, Khalil AA. Antibacterial activity of some wild medicinal plants collected from Western Mediterranean coast, Egypt: Natural alternatives for infectious disease treatment. Afr J Biotechnol. 2011; 10: 10733-43.

Abudunia A-M, Ansar M, Taoufik J, Ramli Y, Essassi EM, Ibrahimi A, Khedid K. Evaluation of antibacterial activity of extracts from Calendula aventis flowers. J Chem Pharma Res. 2014; 6: 156-61.

Ahmad B, Jan Q, Bashir S, Nisar M, Shaheen F, Ahmad M. Pharmacological and biological investigations of Chenopodium murale Linn. Asian J Plant Sc. 2003; 2: 1107-11.

Ahmed F, Ghalib RM, Sasikala P, Mueen Ahmed KK. Cholinesterase inhibitors from botanicals. Phcog Rev. 2013; 7: 121-30.

Ameyaw Y, Duker-Eshun G. The alkaloid contents of the ethnoplant organs of three antimalarial medicinal plant species in the eastern region of Ghana. Int J Chem Sci. 2009; 7: 48-58.

Andersen OM, Markham KR. Flavonoids chemistry, biochemistry and applications. CRC Press, Tylor and Francis, 2006, pp 145-54.

Awadh Ali NA, Jülich WD, Kusnick C, Lindequist U. Screening of Yemeni medicinal plants for antibacterial and cytotoxic activities. J Ethnopharmacol. 2001; 74: 173-79.

Chanwitheesuk A, Teerawutgulrag A, Rakariyatham N. Screening of anti-oxidant activity and anti-oxidant compounds of some edible plants of Thailand. Food Chem. 2005; 92: 491-97.

Chethan J, Sampath Kumara KK, Shailasree S, Prakash HS. Anti-oxidant, antibacterial and DNA protecting activity of selected medicinally important Asteraceae plants. Int J Pharm Pharm Sci. 2012; 4: 257-61.

?etkovi? GS, Djilas SM, Canadanovic-Brunet JM, Tumbas VT. Anti-oxidant properties of marigold extracts. Food Res Inter. 2004; 37: 643-50.

Costamagna MS, Ordoñez RM, Zampini IC, Sayago JE, Isla MI. Nutritional and anti-oxidant properties of Geoffroea decorticans, an Argentinean fruit, and derived products (flour, arrope, decoction and hydroalcoholic beverage). Food Res Inter. 2013; 54: 160-8.

DallAcqua S. Plant-derived acetylcholinesterase inhibitory alkaloids for the treatment of Alzheimers disease. Bot Targets Ther. 2013; 3: 1928.

Dobren'kov AG, Tilyabaev Z, Dalimov DN, Abduvakhabov AA. Anabasine and cytisine derivatives as reversible cholinesterase inhibitors. Chem Nat Compd. 1987; 1: 97-100.

Ellman GL, Courtney KD, Andres Vjr, Featherstone RM. A new and rapid colorimetric determination of acetylcholinesterase activity. Biochem Pharmacol. 1961; 7: 88-95.

Emeka EJ, Oluwatoyin AE, Adekunle OI, Ignis IO. Preliminary phytochemical screening and evaluation of hypoglycemic properties of the root extract of Uveria chamae. Bangladesh J Pharmacol. 2015; 10: 326-31

Ercetin T, Sezer Senolb F, Erdogan Orhanb I, Tokerb G. Comparative assessment of anti-oxidant and cholinesterase inhibitory properties of the marigold extracts from Calendula arvensis L. and Calendula officinalis L. Ind Crop Prod. 2012; 36: 203-08.

Güven K, Yücel E, Çetinta? F. Antimicrobial activities of fruits of Crataegus and Pyrus species. Pharm Biol. 2006; 44: 79-83.

Jallali I, Megdiche W, MHamdi B, Oueslati S, Smaoui A, Abdelly C. Changes in phenolic composition and anti-oxidant activities of the edible halophyte Crithmum maritimum L. with physiological stage and extraction method. Acta Physiol Plant. 2012; 34: 1451-59.

Kaileh M, Berghe WV, Boone E, Essawi T, Haegeman G. Screening of indigenous Palestinian medicinal plants for potential anti-inflammatory and cytotoxic activity. J Ethnopharmacol. 2007; 113: 510-6.

Karadsheh N, Kussie P, Linthicum DS. Inhibition of acetylcholinesterase by caffeine, anabasine, methyl pyrrolidine and their derivatives. Toxicol Lett. 1991; 55: 335-42.

Kchaou M, Ben Salah H, Mhiri R, Allouche N. Anti-oxidant and anti-acetylcholinesterase activities of Zygophyllum album. Bangladesh J Pharmacol. 2016; 11: 54-62.

Kirby AJ, Schmidt, RJ. The anti-oxidant activity of Chinese herbs for eczema and of placebo herbs. J Ethnopharmacol. 1997; 56: 103-08.

Kintzios SE, Barberaki MG. Plants that fight cancer. CRC Press, Beth Budny, USA, 2004, pp 195-241.

Lisko JG, Stanfill SB, Duncan BW, Watson CH. Application of GC-MS/MS for the analysis of tobacco alkaloids in cigarette filler and various tobacco species. Anal Chem. 2013; 85: 3380-84.

Liu YR, Li WG, Chen LF, Xiao BK, Yang JY, Yang L, Zhang CG, Huang RQ, Dong JX. ABTS+ scavenging potency of selected flavonols from Hypericum perforatum L. by HPLC-ESI/MS QQQ: Reaction observation, adduct characterization and scavenging activity determination. Food Res Inter. 2014; 58: 47-58.

Mabrouk L, Ben Brahim M, Hamza A, Bradai MN. Diversity and temporal fluctuations of epiphytes and sessile invertebrates on the rhizomes Posidonia oceanic in a seagrass meadow off Tunisia. Mar Ecol. 2014; 35: 212-20.

Maisarah AM, Asmah R, Fauziah O. Proximate analysis, anti-oxidant and anti-proliferative activities of different parts of Carica papaya. J Tissue Sci Eng. 2014; 5: 1-7.

Maisuthisakul P, Suttajit M, Pongsawatmanit R. Assessment of phenolic content and free radical-scavenging capacity of some Thai indigenous plants. Food Chem. 2007; 100: 1409-18.

Marinova EM, Yanishlieva NV. Anti-oxidative activity of extracts from selected species of the family Lamiaceae in sunflower oil. Food Chem. 1997; 58: 245-8.

Montiel-Ruiza M, González-Trujanob ME., Déciga-Campos M. Synergistic interactions between the anti-nociceptive effect of Rhodiolarosea extract and B vitamins in the mouse formalin test Rosa. Phytomedicine 2013 ; 20: 1280-7.

Mukherjeea PK, Kumarb V, Malb M, Houghton PJ. Acetylcholinesterase inhibitors from plants. Phytomedicine 2007; 14: 289-300.

Murraya AP, Faraonia MB, Castroa MJ, Alzaa NP, Cavallaro V. Natural AChE inhibitors from plants and their contribution to Alzheimers dsease therapy. Curr Neuropharmacol. 2013; 11: 388-413.

Ng YP, Tsun Or TCh, Ip NY. Plant alkaloids as drug leads for Alzheimer's disease. Neurochem Inter. 2015; 89: 260-70.

Özçelik B, Kartal M, Orhan I. Cytotoxicity, antiviral and antimicrobial activities of alkaloids, flavonoids, and phenolic acids. Pharm Biol. 2011; 49: 396-402.

Pratt DE. Natural anti-oxidants of soybean and other oil-seeds. In: Simic MG, Karel M. (eds.). Autoxidation in food and biological systems. Plenum Press, New York, 1980, pp 283-92.

Quettier-Deleu C, Gressier B, Vasseur J, Dine T, Brunet C, Luyckx M, Cazin M, Cazin JC, Bailleul F, Trotin F. Phenolic compounds and anti-oxidant activities of buckwheat (Fagopyrum esculentum Moench) hulls and flour. J Ethnopharmacol. 2000; 72: 3542.

Raina H, Soni G, Jauhari N, Sharma N, Bharadvaja N. Phytochemical importance of medicinal plants as potential sources of anticancer agents. Turk J Bot. 2014; 38: 1027-35.

Rauha JP, Remes S, Heinonen M, Hopia A, Kähkönen M, Kujala T, Pihlaja K, Vuorela H, Vuorela P. Antimicrobial effects of finnish plant extracts containing flavonoids and other phenolic compounds. Int. J Food Microbiol. 2000; 56: 3-12.

Re P, Proteggente R, Pannala N, Yang A, Rice-Evans CMA. Anti-oxidant activity applying an improved ABTS radical cation decolorization assay. Free Radical Biol Med. 1999; 26: 1231-37.

Reginato MA, Castagna A, Furlàn A, Castro S, Ranieri A, Luna V.Physiological responses of a halophytic shrub to salt stressby Na2SO4 and NaCl: Oxidative damage and the role of polyphenols in anti-oxidant protection. AoB Plants. 2014; 6.

Rezazadeh A, Ghasemnezhad A, Barani M, Telmadarrehei T. Effect of salinity on phenolic composition and anti-oxidant activity of artichoke (Cynara scolymus L.) leaves. Res J Med Plant. 2012; 6: 245-52.

Saidi S, Bouri S, Ben Dhia H, Anselme B. A GIS-based susceptibility indexing method for irrigation and drinking water management planning: Application to Chebba Mellouleche Aquifer, Tunisia. Agric Water Manage. 2009; 96: 1683-90.

Selmar D, Kleinwächter M. Stress enhances the synthesis of secondary plant products: The impact of stress-related over-reduction on the accumulation of natural products. Plant cell Physiol. 2013; 54: 817-26.

Sohn HY, Son KH, Know CS, Kan SS. Antimicrobial and cytotoxic activity of 18 prenylated flavonoids isolated from medicinal plants: Morus alba L., Morus mongolica Schneider, Broussnetia papyrifera (L.) Vent, Sophora flavescens Ait and Echinosophora koreensis Nakai. Phytomedicine 2004; 11: 666-72.

Tabana YM, Dahham SS, Ahmed Hassan LE. In vitro anti-metastatic and anti-oxidant activity of Nicotiana glauca fraction against breast cancer cells. Adv Biol Res. 2015; 9: 95-102.

Tsuchiya H, Sato M, Miyazaki T, Fujiwara S, Tanigaki S, Ohyama M, Tanaka T, Iinuma M. Comparative study on the antibacterial activity of phytochemical flavanones against methicillin-resistant Staphylococcus aureus. J Ethnopharmacol. 1996; 50: 27-34.

Waterman PG, Mole S. Analysis of phenolic plant metabolites. Blackwell Scientific Publications, Oxford, UK, 1994, pp 85-87.

Zain ME, Awaad AS, Al-Outhman MR, El-Meligy RM. Anti-microbial activities of Saudi Arabian desert plants. Phytopharmacology 2012; 2: 106-13.

Published

2016-05-08

How to Cite

Sellem, Imen, et al. “Anti-Oxidant, Antimicrobial and Anti-Acetylcholinesterase Activities of Organic Extracts from Aerial Parts of Three Tunisian Plants and Correlation With Polyphenols and Flavonoids Contents”. Bangladesh Journal of Pharmacology, vol. 11, no. 2, May 2016, pp. 531-44, doi:10.3329/bjp.v11i2.26001.

Issue

Section

Research Articles