Influence of ketamine on amino acid neurotransmitters secretion by nerve cells in vitro
DOI:
https://doi.org/10.3329/bjp.v11iS1.26411Keywords:
Amino acid, Ketamine, Nerve cell, NeurotransmitterAbstract
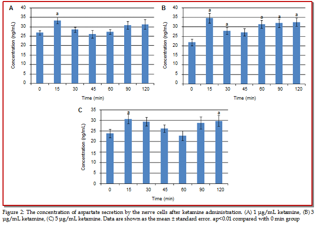
In order to study the influence of amino acid neurotransmitters secreted by the nerve cells after ketamine treatment, the nerve cells were cultured in vitro to exclude the interference of other factors in vivo and treated with three different doses of ketamine (1, 3 and 5 µg/mL). Then, the concentration of neuronal amino acid neurotransmitters was examined at 0, 15, 30, 45, 60, 90, 120 min after treatment. The trends of each amino acid concentration after ketamine treatment were nearly the same among the different treatment doses. After 15 min of adapting time, ketamine decreased the excitatory amino acid glutamic acid and aspartic acid concentration, and increased the concentration of the inhibitory amino acid glycine. Their concentrations showed a tendency to return approximately to the original level after 120 min.
Downloads
301
234 Read
134
Published
How to Cite
Issue
Section
License
Authors who publish with this journal agree to the following terms:
- Authors retain copyright and grant the journal right of first publication with the work simultaneously licensed under a Creative Commons Attribution License that allows others to share the work with an acknowledgement of the work's authorship and initial publication in this journal.
- Authors are able to enter into separate, additional contractual arrangements for the non-exclusive distribution of the journal's published version of the work (e.g., post it to an institutional repository or publish it in a book), with an acknowledgement of its initial publication in this journal.
- Authors are permitted and encouraged to post their work online (e.g., in institutional repositories or on their website) prior to and during the submission process, as it can lead to productive exchanges, as well as earlier and greater citation of published work (See The Effect of Open Access).