EGR1, EGFR and IGF1R protein expressions in non-small cell lung cancer and their clinical significances

Authors

  • Dujuan Yu Department of Respiration, China Japan Union Hospital of Jilin University, Chang Chun, Jilin, 130033
  • Ping Tan Department of Respiration, China Japan Union Hospital of Jilin University, Chang Chun, Jilin, 130033
  • Min Yu Department of Cardiology, Affiliated Hospital of Beihua University, Jilin, Jilin, 134000
  • Shaomin Shi Department of Respiration, China Japan Union Hospital of Jilin University, Chang Chun, Jilin, 130033
  • Xue Wang Center  of Physical Examination, China Japan Union Hospital of Jilin University, Chang Chun, Jilin, 130033

DOI:

https://doi.org/10.3329/bjp.v11iS1.26413

Keywords:

EGFR, EGR1, IGF1R, Non-small cell lung cancer, Protein expression

Abstract

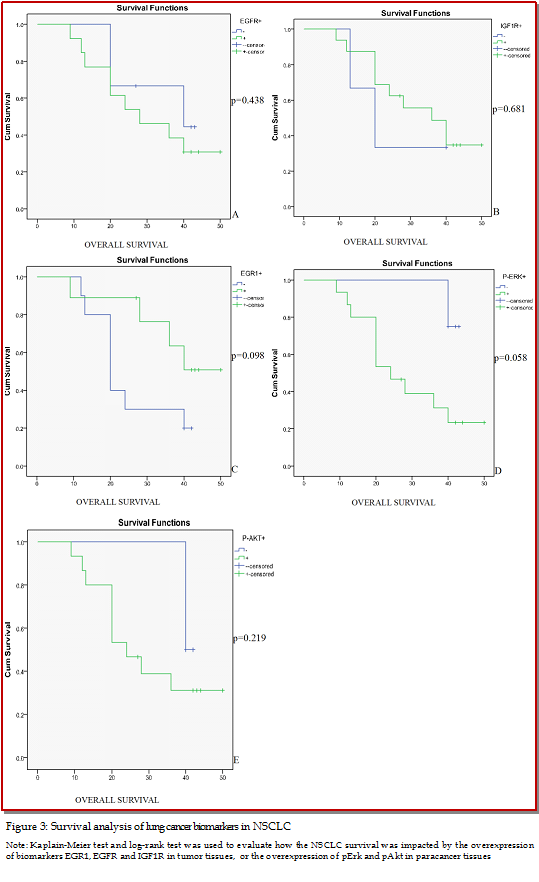
The purpose of this study was to investigate the incidence and clinical significance of alterations in EGFR, IGF1R and the cell signaling pathway activities induced by them, as well as EGR1 expression in resected non-small cell lung cancer (NSCLC). The protein expressions of  biomarker were evaluated by Western blotting in tissues from 19 surgically resected NSCLCs. High expressions of EGR1, EGFR and  IGF1R were detected in more than 30% tumor tissues. High expressions of pErk and pAkt were detected in more than 50% paracancer tissues. There were significant correlations between the NSCLC target factors detected (p<0.05). Alterations of protein expressions of target factor detected in NSCLC were significantly associated with alterations in pathological subtype, differentiation, pathological stage, and smoking history. Positive EGR1 might be  associated with good survival, while positive pErk might be associated with poor prognosis.

 

Downloads

Download data is not yet available.
Abstract
825
Download
245 Read
142

Author Biography

Dujuan Yu, Department of Respiration, China Japan Union Hospital of Jilin University, Chang Chun, Jilin, 130033

 

 

References

Chen B, Xiao F, Li B. The role of epithelial-mesenchymal transition and IGF-1R expression in prediction of gefitinib activity as the second-line treatment for advanced non-small-cell lung cancer. Cancer Invest. 2013; 31: 454-60.

Cortés-Sempere M, de Miguel MP, Pernía O. IGFBP-3 methylation-derived deficiency mediates the resistance to cisplatin though the activation of the IGFIR/Akt pathway in non-small cell lung cancer. Oncogene 2013; 32: 1274-83.

Dergunoa LV, Raevskaia NM, Volosheniuk EL, Limborskaia SA. Expression peculiarities of EGR1, neurotrophins and their receptor genes in human lung cancer and in normal lung tissue. Mol Gen Mikrobiol Virusol. 2007; 2: 25-30.

Ferraro B, Bepler G, Sharma S, et al. EGR1 predicts PTEN and survival in patients with non-small-cell lung cancer. J Clin Oncol. 2005; 23: 1921-26.

Hirami Y, Aoe M, Tsukuda K, et al. Relation of epidermal growth factor receptor, phosphorylated-Akt, and hypoxia-inducible factor-1 alpha in non-small cell lung cancers. Cancer Lett. 2004; 214: 157-64.

Hirsch FR, Varella-Garcia M, Bunn PA Jr, et al. Epidermal growth factor receptor in non-small-cell lung carcinomas: Correlation between gene copy number and protein expression and impact on prognosis. J Clinic Oncol. 2003; 21: 3798-807?

Hoshino R, Chatani Y, Yamori T, et al. Constitutive activation of the 41-/43-kDa mitogen-activated protein kinase signaling pathway in human tumors. Oncogene 1999; 18: 81322.

Kaufmann K, Thiel G. Epidermal growth fact or and thrombin induced proliferation of immortalized human keratinocyt es is coupled to the synthesis of Egr-1, a zinc finger transcriptional regulator. J Cell Biochem. 2002; 85: 381-91.

Kim JS, Kim ES, Liu D, Nakagawa M, Uramoto H, Oka S, et al. Clinical significance of IGF1R expression in non-small-cell lung cancer. Clin Lung Cancer. 2012; 13: 136-42.

Kim JS, Kim ES, Liu D, et al. Prognostic impact of insulin receptor expression on survival of patients with non-small cell lung cancer. Cancer. 2012; 118: 2454-65.

Kim WY, Prudkin L, Feng L, et al. Epidermal growth factor receptor and K-Ras mutations and resistance of lung cancer to insulin-like growth factor1 receptor tyrosine kinase inhibitors. Cancer. 2012; 118: 3993-4003.

LeRoith D, Roberts CT Jr. The insulin-like growth factor system and cancer. Cancer Lett 2003; 195: 12737.

Ludovini V, Flacco A, Bianconi F, et al., Concomitant high gene copy number and protein overexpression of IGF1R and EGFR negatively affect disease-free survival of surgically resected non-small-cell-lung cancer patients. Cancer Chemother Pharmacol. 2013; 71: 671-80.

McNeil LK, Starr TK, Hogquist KA. A requirement for sustain-ed ERK signaling during thymocyte positive select ion in vivo. Proc Natl Acad Sci USA. 2005; 102: 13574-79.

Morgillo F, Woo JK, Kim ES, et al. Heterodimerization of insulin-like growth factor receptor/epidermal growth factor receptor and induction of survivin expression counteract the antitumor action of erlotinib. Cancer Res. 2006; 66: 10100-11.

Mukohara T, Kudoh S, Yamauchi S, et al., Expression of epidermal growth factor receptor (EGFR) and downstream-activated peptides in surgically excised non-small-cell lung cancer (NSCLC). Lung Cancer. 2003; 41: 123-30.

Murakami A, Takahashi F, Nurwidya F. Hypoxia increases gefitinib-resistant lung cancer stem cells through the activation of insulin-like growth factor 1 receptor. PLoS One. 2014; 9: e86459.

Nakagawa M, Uramoto H, Oka S, et al., Clinical significance of IGF1R expression in non-small-cell lung cancer. Clin Lung Cancer. 2012; 13: 136-42.

Neufeld G, Cohen T, Gengrinovitch S, Poltorak Z. Vascular endothelial growth factor (VEGF) and its receptors. FASEB J. 1999; 13: 9-22.

Ning XH, Wang YZ, Bai CM, et al. Clinical significance of insulin-like growth factor-1 receptor in platinum-based chemotherapy for non-small cell lung cancer. Zhongguo Yi Xue Ke Xue Yuan Xue Bao. 2010; 32: 366-70.

Ohsaki Y, Tanno S, Fujita Y et al. Epidermal growth factor receptor expression correlates with poor prognosis in non-small cell lung cancer patients with p53 overexpression. Oncol Rep. 2000; 7: 603-07.

Peled N, Wynes MW, Ikeda N. Insulin-like growth factor-1 receptor (IGF-1R) as a biomarker for resistance to the tyrosine kinase inhibitor gefitinib in non-small cell lung cancer. Cell Oncol (Dordr). 2013; 36: 277-88.

Revest JM, Di Blasi F, Kitchener P, et al. The MAPK pathway and Egr-1 mediate stress-related behavioral effects of glucocorticoids. Nat Neurosci. 2005; 8: 664-72.

Riedemann J, Macaulay VM. IGF1R signalling and its inhibition. Endocr Relat Cancer. 2006; 13 (Suppl 1): S33S43.

Tran TN, Selinger CI, Yu B. Alterations of insulin-like growth factor-1 receptor gene copy number and protein expression are common in non-small cell lung cancer. J Clin Pathol. 2014.

Vazquez-Martin A, Cufí S, Oliveras-Ferraros C. IGF-1R/epithelial-to-mesenchymal transition (EMT) crosstalk suppresses the erlotinib-sensitizing effect of EGFR exon 19 deletion mutations. Sci Rep. 2013; 3: 2560.

Vicent S, Lopez-Picazo JM, Toledo G, et al. ERK1/2 is activated in non-small-cell lung cancer and associated with advanced tumours. Bri J Cancer. 2004; 90, 1047-52.

Published

2016-03-09

How to Cite

Yu, Dujuan, et al. “EGR1, EGFR and IGF1R Protein Expressions in Non-Small Cell Lung Cancer and Their Clinical Significances”. Bangladesh Journal of Pharmacology, vol. 11, no. S1, Mar. 2016, pp. S123-S130, doi:10.3329/bjp.v11iS1.26413.

Issue

Section

Research Articles