Preparation and release characteristics study on the novel minocycline hydrochloride sustained-release capsule

Authors

  • Songfeng Zhao Department of Pharmacology, The First Affiliated Hospital of Zhengzhou University, Zhengzhou, Henan 450052
  • Xiao Zhang Department of Pharmacology, The First Affiliated Hospital of Zhengzhou University, Zhengzhou, Henan 450052
  • Xiaojian Zhang Department of Pharmacology, The First Affiliated Hospital of Zhengzhou University, Zhengzhou, Henan 450052
  • Xiuqin Shi Department of Pharmacology, The First Affiliated Hospital of Zhengzhou University, Zhengzhou, Henan 450052
  • Jun Li Department of Pharmacology, The First Affiliated Hospital of Zhengzhou University, Zhengzhou, Henan 450052
  • Quancheng Kan The Provincial Key Lab of Clinical Medicine, The First Affiliated Hospital of Zhengzhou University, Zhengzhou, Henan 450052
  • Shuoye Yang College of Bioengineering, Henan University of Technology, Zhengzhou

DOI:

https://doi.org/10.3329/bjp.v11iS1.26415

Keywords:

Minocycline, Sustained-release capsule

Abstract

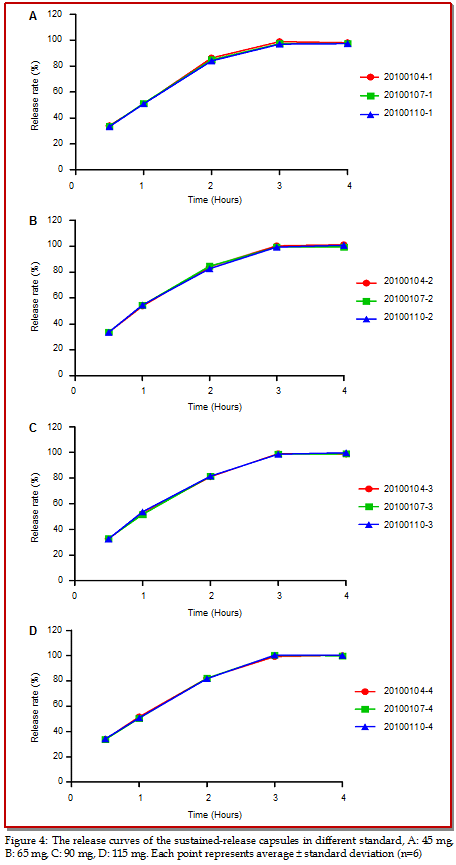
In present study, a novel minocycline hydrochloride sustained-release capsule was prepared with the new extrusion-spheronization method. The in vitro release studies were performed using marketed sample as a reference and data were analyzed in terms of cumulative release amounts as a function of time. Results demonstrated that the developed analysis method was reliable and convenient for the quantification and dissolution study of minocycline hydrochloride. The release characteristics of different batches of preparations were quite similar with each other, similarity factors fof 12 batches were all within 50-100, and our developed sample was similar to reference preparation in release characteristics in vitro. The developed sustained-release preparation may be a promising alternative dosage form for treatment of related diseases.

 

Downloads

Download data is not yet available.
Abstract
465
Download
326 Read
138

References

Blanchard C, Barnett P, Perlmutter J, Dunman PM. Identification of Acinetobacter baumannii serum-associated antibiotic efflux pump inhibitors. Antimicrob Agents Chemother. 2014; 58: 6360-70.

Bunagan MJ, Banka N, Shapiro J. Retrospective review of folliculitis decalvans in 23 patients with course and treatment analysis of long-standing cases. J Cutan Med Surg. 2015; 19: 45-49.

Chopra S, Harjai K, Chhibber S. Antibiotic susceptibility of ica-positive and ica-negative MRSA in different phases of biofilm growth. J Antibiot (Tokyo). 2015; 68: 15-22.

Cui L, Peng WX, Sun ZJ, Lu HF, Chen GN. Variability of macroscopic dimensions of Moso bamboo. Pakistan J Pharmaceut Sci. 2015; 28: 675-79.

Dong X, Chen F, Zhang Y, Liu H, Liu Y, Ma L. In vitro activities of rifampin, colistin, sulbactam and tigecycline tested alone and in combination against extensively drug-resistant Acinetobacter baumannii. J Antibiot (Tokyo). 2014; 67: 677-80.

Freiberg S, Zhu XX . Polymer microspheres for controlled drug release. Int J Pharm. 2004; 282: 1-18.

Ifuku M, Hossain SM, Noda M, Katafuchi T. Induction of interleukin-1? by activated microglia is a prerequisite for immunologically induced fatigue. Eur J Neurosci. 2014; 40: 3253-63.

Li YH, Zhu JB. Modulation of combined-release behaviors from a novel tablets-in-capsule system. J Control Release. 2004; 95: 381-89.

Liu Y, Sun YH, Sun J, Zhao NN, Sun MY, He ZG. Preparation and in vitro/in vivo evaluation of sustained-release venlafaxine hydrochloride pellets. Int J Pharm. 2012; 426: 21-28.

Nagpal K, Singh SK, Mishra DN. Minocycline encapsulated chitosan nanoparticles for central antinociceptive activity. Int J Biol Macromol. 2015; 72: 131-35.

Norden DM, Bicer S, Clark Y, Jing R, Henry CJ, Wold LE, Reiser PJ, Godbout JP, McCarthy DO (2015). Tumor growth increases neuroinflammation, fatigue and depressive-like behavior prior to alterations in muscle function. Brain Behav Immun. 2015; 43: 76-85.

Oya K, Kishi T, Iwata N. Efficacy and tolerability of minocycline augmentation therapy in schizophrenia: A systematic review and meta-analysis of randomized controlled trials. Hum Psychopharmacol. 2014; 29: 483-91.

Peng WX, Lin Z, Chen H, Wu JG. Biochemical group characteristics of self-bonded boards during acidic oxidation for public health. J Pure Appl Microbiol. 2015; 9: 307-11.

Peng WX, Wang LS, Zhang ML, Lin Z. Separation characteristics of lignin from Eucalyptus camaldulensis lignin-celluloses for biomedical cellulose. Pakistan J Pharmaceut Sci. 2014; 27: 723-28.

Ross AC, Macrae R. Chronopharmaceutical drug delivery from a pulsatile capsule device based on programmable erosion. J Pharm Pharmacol. 2000; 52: 903-09.

Shibata N, Nishumura A, Naruhashi K, Nakao Y, Miura R. Preparation and pharmaceutical evaluation of new sustained-release capsule including starch-sponge matrix (SSM). Biomed Pharmacothr. 2010; 64: 352-58.

Simpson B, Foster S, Ku JH, Simpson EL, Ehst BD. Triple antibiotic combination therapy may improve but not resolve granuloma annulare. Dermatol Ther. 2014; 27: 343-47.

Tsao C, McGoey RR. Radiology case of the month: 49-year-old female with an anterior mediastinal mass. J La State Med Soc. 2014; 166: 134-36.

Vargiu AV, Ruggerone P, Opperman TJ, Nguyen ST, Nikaido H. Molecular mechanism of MBX2319 inhibition of Escherichia coli AcrB multidrug efflux pump and comparison with other inhibitors. Antimicrob Agents Chemother. 2014; 58: 6224-34.

Xue Q, Peng WX, Ohkoshi M. Molecular bonding characteristics of self-plasticized bamboo composites. Pakistan J Pharmaceut Sci. 2014; 27: 975-82.

Published

2016-02-21

How to Cite

Zhao, Songfeng, et al. “Preparation and Release Characteristics Study on the Novel Minocycline Hydrochloride Sustained-Release Capsule”. Bangladesh Journal of Pharmacology, vol. 11, no. S1, Feb. 2016, pp. S36-S42, doi:10.3329/bjp.v11iS1.26415.

Issue

Section

Research Articles