Anxiolytic and hypnotic effects of Cocculus laurifolius leaf extract in mice
DOI:
https://doi.org/10.3329/bjp.v14i1.38093Keywords:
Anxiety, Cocculus laurifolius, Hypnosis, MouseAbstract
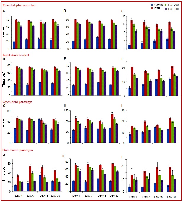
The present study aims to assess the anxiolytic and hypnotic activity of ethanolic extract of Cocculus laurifolius leaf in mice. Anxiolytic activity was observed using behavioral paradigms while hypnotic activity was assessed by sodium pentobarbital induced hypnosis in mice. Animals were treated with the extract at dose 200 and 400 mg/kg orally for 30 days. Anxiolytic and hypnotic effect were observed on day 1, 7, 15 and 30 of treatment. Significant increase in the number of entries and time spent in open arm were observed in elevated plus maze. Similar results were observed in light/dark, open field and hole board test. The anxiolytic effect was substantially greater at dose 200 mg/kg in comparison to dose 400 mg/kg. Minimal hypnotic activity was observed with decrease in onset and prolongation in duration of sleep at dose 400 mg/kg, while dose 200 mg/kg did not produce any hypnotic effect. These results showed that the ethanolic extract of C. laurifolius leaf might have potential anxiolytic and hypnotic activity in mice.
Video Clip of Methodology:
6 min 52 sec: Click to watch
Downloads
322
213 Read
62
Published
How to Cite
Issue
Section
License
Authors who publish with this journal agree to the following terms:
- Authors retain copyright and grant the journal right of first publication with the work simultaneously licensed under a Creative Commons Attribution License that allows others to share the work with an acknowledgement of the work's authorship and initial publication in this journal.
- Authors are able to enter into separate, additional contractual arrangements for the non-exclusive distribution of the journal's published version of the work (e.g., post it to an institutional repository or publish it in a book), with an acknowledgement of its initial publication in this journal.
- Authors are permitted and encouraged to post their work online (e.g., in institutional repositories or on their website) prior to and during the submission process, as it can lead to productive exchanges, as well as earlier and greater citation of published work (See The Effect of Open Access).