Phytochemical analysis, cytotoxic, antioxidant and anti-diabetic activities of the aerial parts of Sorghum halepense
DOI:
https://doi.org/10.3329/bjp.v14i3.40292Keywords:
Anti-diabetic, Antioxidant, Cytotoxic, Sorghum halepenseAbstract
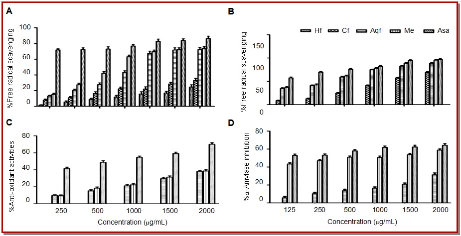
Phytochemical screening, cytotoxic activity, total phenolic content, antioxidant and anti-diabetic activities of the Sorghum halepense methanolic extract and its different fractions were evaluated. Methanolic extract and its various fractions revealed the presence of reducing sugars, tannins, steroids, glycosides, flavonoids in the methanolic extract where they were absent in n-hexane fraction except flavonoids. Gums and saponins were absent in all the samples. Methanolic extract indicated the highest cytotoxic (80.7 ± 1.3%) and anti-diabetic (62.5%) activities. The maximum total phenolic contents (28.7 ± 1.4 mg/mL) were found in the chloroform fraction. An aqueous fraction expressed the highest antioxidant activity 74.1 and 97.1% free radical scavenging properties in DPPH and ABTS assays respectively whereas, in the case of H2O2, methanolic extract indicated maximum (36.9%) activity. In conclusion, the extract of aerial parts of S. halepense is a source of compounds against cancer, diabetic and free radical associated disorders.
Video Clip of Methodology:
DPPH assay: 8 min 47 sec: Click to watch
Downloads
174
154 Read
37

Published
How to Cite
Issue
Section
License
Authors who publish with this journal agree to the following terms:
- Authors retain copyright and grant the journal right of first publication with the work simultaneously licensed under a Creative Commons Attribution License that allows others to share the work with an acknowledgement of the work's authorship and initial publication in this journal.
- Authors are able to enter into separate, additional contractual arrangements for the non-exclusive distribution of the journal's published version of the work (e.g., post it to an institutional repository or publish it in a book), with an acknowledgement of its initial publication in this journal.
- Authors are permitted and encouraged to post their work online (e.g., in institutional repositories or on their website) prior to and during the submission process, as it can lead to productive exchanges, as well as earlier and greater citation of published work (See The Effect of Open Access).