Relationship between severity of hypertension and renal impairment in preeclampsia
DOI:
https://doi.org/10.3329/bsmmuj.v11i3.36256Keywords:
Creatinine, Hypertension, Preeclampsia, Renal, Uric acidAbstract
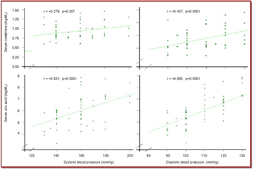
The aim of this study was to determine the relationship between the severity of hypertension and renal impairment in preeclampsia. This study was conducted on 92 diagnosed cases of mild (n=42) and severe (n=50) preeclampsia patients from August 2010 to July 2011. All the patients were almost identical in terms of age and socioeconomic status. The results of the study showed that the mean serum creatinine and uric acid levels were significantly high in severe preeclampsia patient compared to mild preeclampsia and both systolic and diastolic blood pressures had the positive and significant effects on the serum creatinine and uric acid levels. In conclusion, impairment of renal function has the positive and significant relationship with the severity of blood pressure in the preeclamptic patient.
Downloads
801
178 Read
55
Additional Files
Published
How to Cite
Issue
Section
License
Copyright (c) 2018 Khairun Nahar, Ferdousi Islam, Naila Atik Khan

This work is licensed under a Creative Commons Attribution-NonCommercial 4.0 International License.