Adiposity indicators lipid accumulation product and triglyceride-glucose index as alternate criteria for the diagnosis of metabolic obesity in adult
DOI:
https://doi.org/10.3329/bsmmuj.v11i2.36629Keywords:
Adiposity, Glucose, Lipid, Metabolic obesity, TryglucerideAbstract
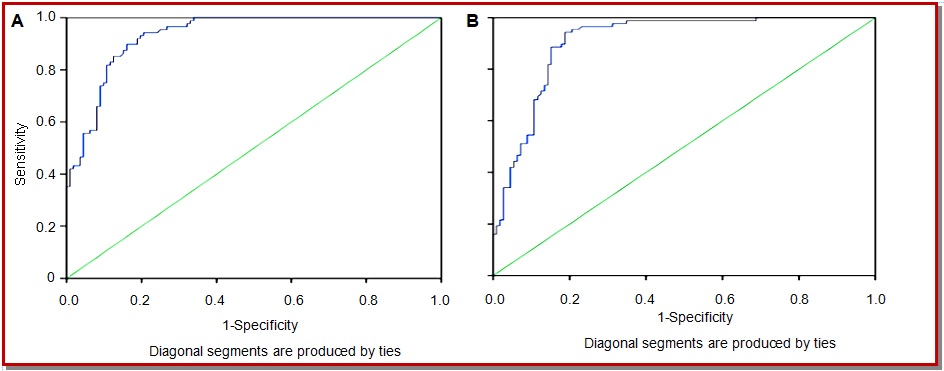
Metabolic obesity refers to the state of having metabolic syndrome irrespective of one’s body mass index. This study was aimed to elucidate the lipid accumulation product and triglyceride-glucose index as simple and alternate criteria for detecting metabolic obesity in adult. The study was conducted in 200 adult (age range: 19-45 years). According to lipid accumulation product and triglyceride-glucose index, the prevalence of metabolic obesity was 54.0% and 53.5% respectively. With a cutoff value of 45.5, the lipid accumulation product was found good to evaluate the metabolic obesity having area under receiver operating characteristic curve 0.9 (p=0.000), with sensitivity 90.9%, specificity 75.0%, positive predictive value 74.1%, and negative predictive value 91.3%. With a cutoff value of 8.7, the triglyceride-glucose index was found good to evaluate the metabolic obesity having area under receiver operating characteristic curve 0.9 (p=0.000), with sensitivity 95.5%, specificity 79.5%, positive predictive value 78.5%, and negative predictive value 95.7%. In conclusion, lipid accumulation product and triglyceride-glucose index are good as alternate criteria for diagnosing the metabolic obesity in adults.
Downloads
681
183 Read
45
Additional Files
Published
How to Cite
Issue
Section
License
Copyright (c) 2018 Mariya Tabassum, Md. Matiur Rahman, Miliva Mozaffor

This work is licensed under a Creative Commons Attribution-NonCommercial 4.0 International License.